doc
zz
Giriş
Kayıt
Dizin
×
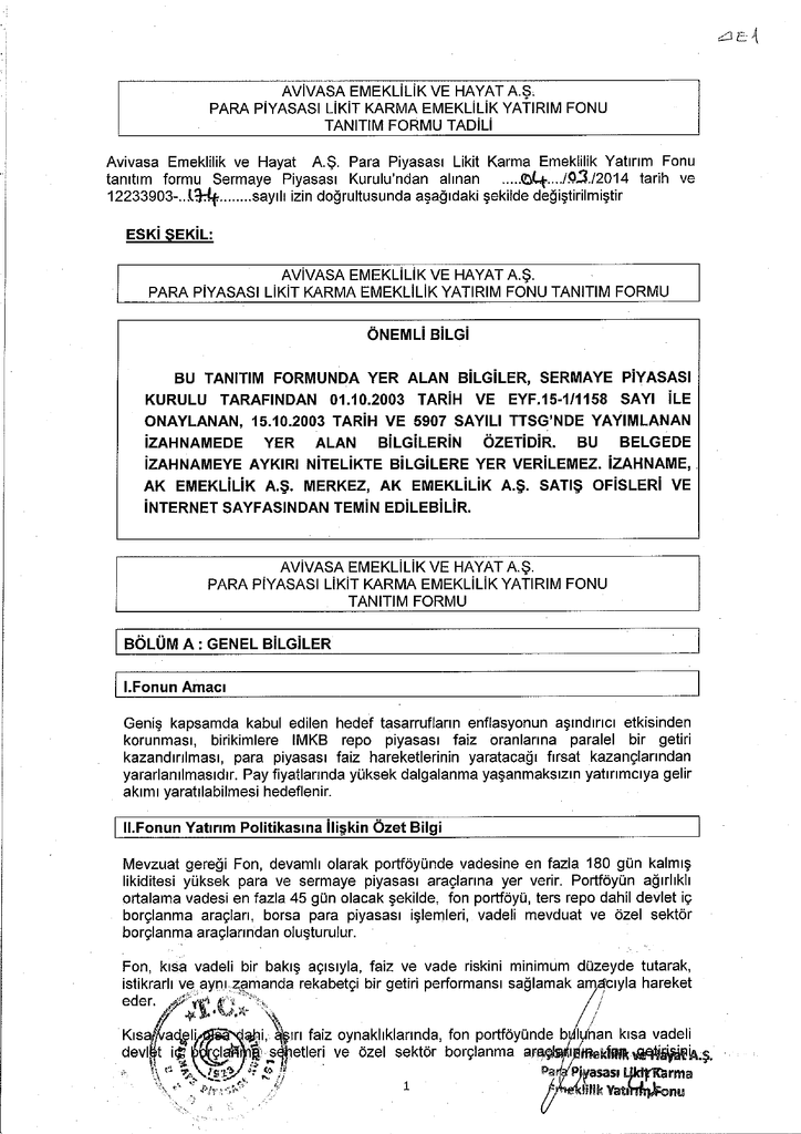
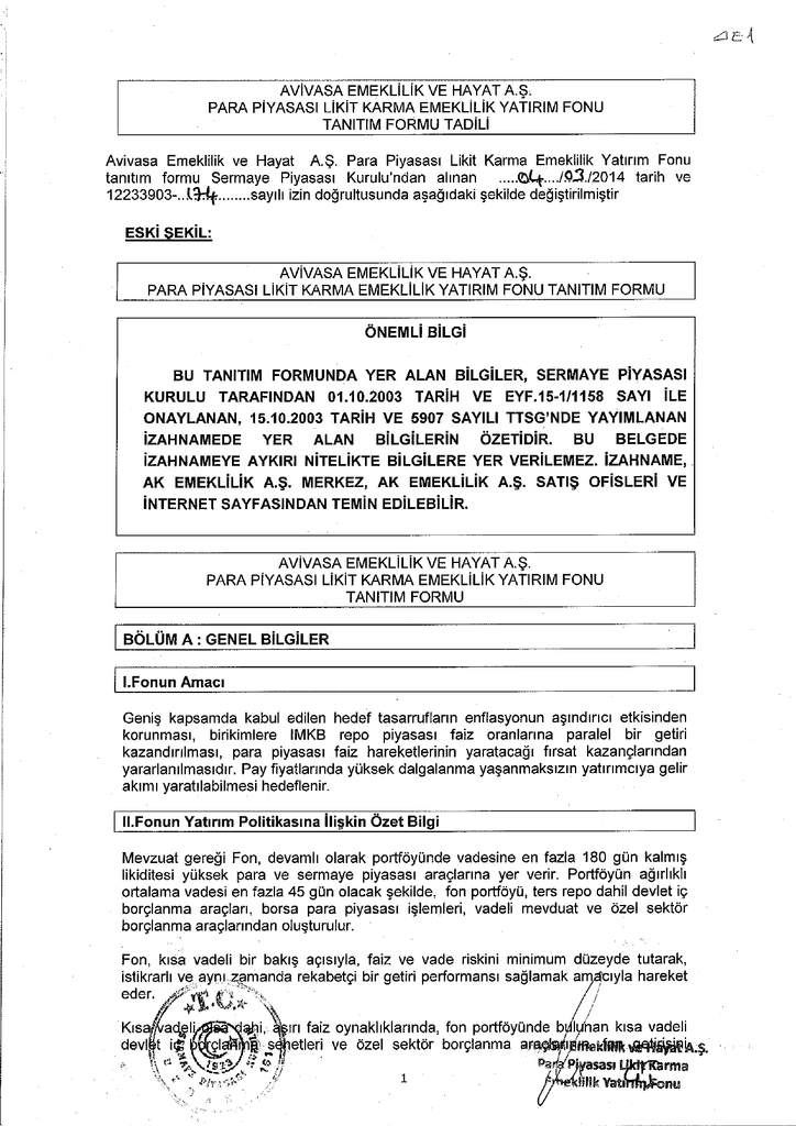
Tanıtım Formu
download
Şikayet
Transkript
Tanıtım Formu
Benzer belgeler